您现在的位置:首页 > 考试题库 > 模拟试题 >

2021年社区工作者考试模拟题—行测(3.3)(2)

2021-03-03 09:57:44 来源: 中公社区工作者考试网

【参考答案与解析】

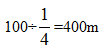
1、【答案】C。中公解析:从第一次相遇到第二次相遇,甲、乙合跑了一圈,由于甲的速度是乙的3倍,因此相遇时甲走的路程也是乙的3倍,即乙走了圈,这正好是两人两次相遇地点之间较短的跑道距离,故跑道的周长为

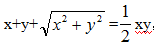
2、【答案】C。中公解析:方法一,设直角三角形的两直角边分别是x、y,则面积为,周长为,由于面积数值等于周长,则,又x+y=14,解得

方法二,此题可由两直角边长度之和为14立刻联想到勾股数(6,8,10),直接代入后发现符合条件,故本题选择C项。

3、【答案】B。中公解析:方阵由外到内第二层有104人,那么最外层有104+8=112人,那么每边有(112+4)÷4=29人,则整个方阵有29×29=841人。

(责任编辑:hui)

免责声明:本站所提供试题均来源于网友提供或网络搜集,由本站编辑整理,仅供个人研究、交流学习使用,不涉及商业盈利目的。如涉及版权问题,请联系本站管理员予以更改或删除

微信公众号
中公社区工作者官方微信号
刷题小程序
社区刷题小程序
咨询电话(9:30-23:30)

400 6300 999

在线客服 点击咨询

投诉建议:18600430000