2017-03-10 09:39:48 来源:
参考答案与解析
1.【答案】A。中公教育解析:设原价为x,优惠20%后恰为300元,则有(1-20%)x=300,则x=375元,故选A。
2.【答案】C。中公教育解析:设打印机的进货价为x元,有(x+215)/0.9=(x-125)/0.8,解得x=2845元,故选C。
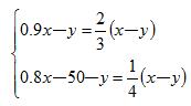
3.【答案】C。中公教育解析:设商品原价为x,进价为y,根据题干可得方程

,解得x=2000元,y=1400元,所以打八八折时,利润为0.88×2000-1400=360元,答案选C。
4.【答案】D。中公教育解析:设单价提高了0.2a元,则销售收入为(2+0.2a)×(100000-5000a)=-1000(a-5)2+225000;当a=5时取大值225000=22.5万,故答案为D。
方法二:(2+0.2a)×(100000-5000a)=0.2×5000×(10+a)×(20-a)=1000×(10+a)×(20-a),当(10+a)=(20-a)时,即a=5时销售收入可以取大值1000×15×15=225000=22.5万。
相关推荐:行测备考|申论备考|公基备考|专业知识备考|面试备考|考试热点|考试题库
更多考试信息请查看社区工作者考试网,了解社区工作者考试时间、社区工作者考试内容。
注:本站稿件未经许可不得转载,转载请保留出处及原文地址。
免责声明:本站所提供试题均来源于网友提供或网络搜集,由本站编辑整理,仅供个人研究、交流学习使用,不涉及商业盈利目的。如涉及版权问题,请联系本站管理员予以更改或删除