2022-08-23 08:07:44 来源: 中公社区工作者考试网 胡雪莹
【导语】中公社区工作者考试网根据社区工作者考试试题特点家为大家整理了社区行测考试内容,供各位考生学习参考,祝大家备考顺利!
推荐: 社区工作者系列试题汇总
排列组合题目,对于很多考生来说是数量关系中最头疼的问题,但其实排列组合当中有一类问题只要清楚它本身的方法,解决起来就会十分容易。接下来中公教育重点给大家介绍排列组合问题中的环形排列问题。
环形排列,顾名思义是指元素围成一圈,n个不同元素环形排列的情况数为
例1
甲、乙、丙、丁四个小朋友围成一圈,共有( )种情况。
A.6 B.12 C.18 D.24
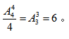
【答案】A。中公解析:四个小朋友围成一圈,即四个元素环形排列,总的情况数应为
大家不免有疑问,为什么直线排列中n个元素排列的情况数为
我们一起思考一下,在直线排列中,以下为四种情况:

而在环形排列中,我们把以上四种情况按照顺时针排序:

不难发现以上四种情况元素之间相对位置并未发生变化,则在环形排列中为同一种情况。那就意味着如果我们直接用直线排列
去计算的话每一种情况都被重复计算了四次,所以环形排列的情况数应该为
将其推广至一般情况就有,环形排列中n个元素排列的情况数为
例2
10个小朋友围成一圈做游戏,问有多少种不同的坐法?
【答案】362880。中公解析:由题意可知。该题目属于环形排列问题,n=10,直接套用公式
在考试中,环形排列时还会结合其他条件一起考查,我们只需要分析清楚其它条件,再使用环排公式即可。
相信通过本次环形排列问题的学习,大家对于此类型的题目有了一定的了解,但要想快速熟练地应用到考场,还需要各位考生勤加练习。
免责声明:本站所提供试题均来源于网友提供或网络搜集,由本站编辑整理,仅供个人研究、交流学习使用,不涉及商业盈利目的。如涉及版权问题,请联系本站管理员予以更改或删除